2.Arbre binaire

Un arbre binaire est un arbre non  vide  formĂ© d’un nĹ“ud, sa racine, et de deux sous-arbres binaires, l’un appelĂ© le fils gauche, l’autre le fils droit. Chaque nĹ“ud porte une information, appelĂ©e son contenu. Un arbre non vide est donc entièrement dĂ©crit par le triplet (contenu de la racine ( information),fils gauche,  fils droit). Il suffit de prĂ©ciser le type du contenu d’un nĹ“ud. 




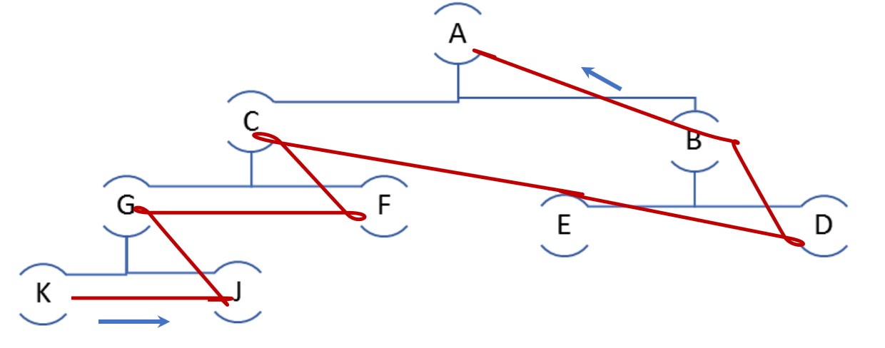
                                                                                                                fig2 : arbre binaire



2-1 représentation des arbres binaires :


Exemple : l'arbre suivant :








est représenté comme :


2-2 parcours d'arbre binaire :

le Parcours d'un arbre c'est l'action qui permettre de visiter  visiter tous ses nĹ“uds. Il existe diffĂ©rentes façons de le faire, cela dĂ©pend de l’ordre de passage par les noeuds.

2.2.1 parcours infixĂ© 



exemple : le parcours infixĂ© de l'arbre de la figure fig2 donne : K G J C F A E B D


2.2.2 parcours prĂ©fixĂ© 



exemple :

le parcours prĂ©fixĂ© de l'arbre de la fig2 donne :  A C G K J F B E D


2.2.3 parcours postfixĂ© 


exemple :

le parcours postfixĂ© de l'arbre fig2 donne : K J G F C E D B A


2-3 Hauteur d'un arbre binaire :
La hauteur d'un arbre binaire est le nombre des nœuds parcourus sur le plus long chemin possible depuis la racine.


fonction max(a,b:entier):entier
debut
si a>b alors retourner a
           sinon retourner b
fin;

2.4 calcul de la taille d'un arbre binaire
Pour calculer la taille d’un arbre, il faut lĂ  encore parcourir toutes ses branches et compter les nĹ“uds


2.5 Nombre des feuilles d'un arbre binaires:





Modifié le: mercredi 16 novembre 2022, 09:35